首页 景点排名文章正文

它被车站停售,遭高铁提醒,为啥人们旅行时还是那么爱吃?

景点排名 2025年10月07日 13:38 2 admin

国庆期间,大家有没有去全国各地游玩?在游玩的过程中,高铁可能是大家普通选择的出行方式。那高铁上大家一般都吃些什么呢?米饭套餐?八宝粥?还是人们最爱的旅行搭子——泡面?

它被车站停售,遭高铁提醒,为啥人们旅行时还是那么爱吃?

而前段时间广州东站下架站内商店停售泡面的现象,引发大家的热议,高铁“去泡面化”的建议对大家的旅程产生了很大的影响,有网友觉得味道很大在封闭车厢里很难闻,但是好像旅途和泡面又是“天生一对”的搭子。

它被车站停售,遭高铁提醒,为啥人们旅行时还是那么爱吃?

但是,不论哪方网友,大家平时都一致觉得泡面吃起来方便、便宜而且色香味俱全,没有人能拒绝泡面的诱惑,如果有人不爱吃泡面,那他大概还没吃过泡面。

它被车站停售,遭高铁提醒,为啥人们旅行时还是那么爱吃?

不过,小编在想小小的一桶泡面为什么有这么大的魅力呢?为什么它不被建议在高铁上食用呢?接下来,就跟着小编一起揭秘泡面中的奥秘吧!

它被车站停售,遭高铁提醒,为啥人们旅行时还是那么爱吃?

为什么泡面拿热水泡泡就软了?

你在泡泡面时有没有产生一个疑问:为什么泡面一泡就软了,但是挂面却要煮上一会才变软?

它被车站停售,遭高铁提醒,为啥人们旅行时还是那么爱吃?

我们在泡泡面的时候只需要加一些热水,泡3~5分钟面条就会变软,而这主要和泡面自带的多孔结构以及泡面遇热水后发生的物理变化和化学变化有关。

它被车站停售,遭高铁提醒,为啥人们旅行时还是那么爱吃?

以油炸方便面为例,通过160~180 ℃的高温油快速蒸发面条中的水分,水分逸出时,在面条内部留下大量蜂窝状微孔,而非油炸方便面则通过热风干燥形成类似结构,并且孔隙更小。同时,方便面又是弯曲形状,内部有大量的褶皱。这样方便面在冲泡的过程中,含有大量皱褶和孔隙的面饼能更加充分地与开水接触,从而缩短冲泡时间。

当方便面接触到热水后,温度会升高,面条中的淀粉会发生“玻璃化转变”这一物理变化。

它被车站停售,遭高铁提醒,为啥人们旅行时还是那么爱吃?

非晶物质在玻璃化转变前后的变化

方便面面饼主要由各种面粉制成,比如小麦、大米或荞麦粉。其中含有的主要成分是淀粉和水,还含有一定比例的蛋白质。

在油炸或者风干的时候,水分被剧烈移除,糊化的淀粉网络来不及缓慢、有序地重排结晶,就被“急冻”在了一种高度无序的非晶态固态。这就是玻璃态,玻璃态下的面饼是又硬又脆的。

以塑料为例,非晶态物质在玻璃化转变前后分子链在动力学上的变化

遇到热水后,淀粉分子会获得能量,突破玻璃转变温度(淀粉的玻璃转变温度大约在60~80 ℃),从玻璃态变为“橡胶态”,这时分子链可自由运动,材质变得柔韧。

在发生玻璃化转变的同时,面饼内也在发生着化学变化——淀粉糊化。由于玻璃转变,面条变得柔韧,淀粉分子链更容易展开和移动,分子链更容易与水分子结合。

面饼加工时以油炸或热风干燥的方式干燥脱水,含水量从吸水状态的30-50%下降到10%甚至5%以下。此时淀粉分子之间会形成较强的氢键网络,淀粉链段无法自由运动,因此表现出较为干硬的质感。

它被车站停售,遭高铁提醒,为啥人们旅行时还是那么爱吃?

淀粉分子与水成键示意

当加水后,水分首先进入非晶部分,进而打破淀粉分子间的氢键并与淀粉分子成键,即发生近似溶解的过程,只是由于淀粉的量较多以及蛋白质网络的支撑仍保持固态的整体形状。

这两个过程相互协作,共同使得加入热水几分钟后就可以得到柔韧的一碗泡面啦!

它被车站停售,遭高铁提醒,为啥人们旅行时还是那么爱吃?

这也就能解释我们最开始的疑问:普通的挂面脱水过程缓慢,内部结构致密,缺少泡面中的孔隙。热水只能从外向内缓慢渗透,需要更长时间(煮沸5~10分钟)才能彻底软化淀粉和蛋白质。

小编提醒:因为方便面需要热水(一般高于85 ℃)才能泡开,在列车运行过程中,容易因为路程颠簸,导致热水溅出烫伤自己或他人!

为什么泡面总是弯弯曲曲?

泡面的弯曲形状主要还是来源于它生产过程中的压片切条成型的过程。接下来我们就一起看一下泡面的制作过程。

和面熟化:不管是方便面还是挂面,第一步都是和面——也就是制作生面团。面团中的面粉和水都是按照合适的比例加入,同时还要加入食盐和食用碱以及其他的辅料,这是为了增加面团的韧性和延展性,并且中和面团发酵时产生的酸。

它被车站停售,遭高铁提醒,为啥人们旅行时还是那么爱吃?

压片切条:和好的生面团会被传送至多个不断旋转滚动的碾压机,在经多次碾压后,变成又薄又宽的面片。

成波浪形状:为了防止蒸面条时相互粘连,加快脱水时的水分蒸发,方便面制成波峰竖起、前后波峰相靠、连绵不断、波浪起伏的特殊形状。

面片由面刀纵切成条后,垂直落入波纹成型导箱内,面条在成型导箱内与导箱前后壁发生碰壁而产生扭曲,而成型传送带的线速小于面条的线速,在成型带上,面条受到阻力,使面条成为连续的细小的波纹状面条。面条线速度和成型传送带的线速度是影响成型效果的主要因素。速比大,波纹密,速比小,波纹稀。

它被车站停售,遭高铁提醒,为啥人们旅行时还是那么爱吃?

速度差限制了面条的伸展,迫使面条发生弯曲丨 YouTube@Best Ever Food Review Show

这样,泡面的弯曲形状就成型了!接下来,在进行油炸或者烘干,就变成了我们常见的一个圆圆的面饼。

它被车站停售,遭高铁提醒,为啥人们旅行时还是那么爱吃?

这种弯曲形状的方便面既可以缩小面饼的纵向尺寸,方便包装,还因为泡面面饼的局部弯曲结构具有一定的抗压性,运输过程中,不易破碎。

泡面的抗压性可以从局部和整体两个角度解释。泡面的局部弯曲结构类似于一个个小小的弹簧,具有一定的弹性,当受到外力挤压时,它们能够通过弯曲变形来分散压力,从而减少破碎的可能性。这样,我们买到的方便面才会保持完整,不会变成一堆碎渣渣。

它被车站停售,遭高铁提醒,为啥人们旅行时还是那么爱吃?

这就好比一根弯曲的弹簧比笔直的钢丝更不容易变形

弯曲的面条之间有很多空隙,在冲泡的时候,热水能够更容易地渗透到面条的各个部位,让面条更快地吸收水分,均匀受热。

并且卷曲的形状能在一定程度上阻碍汤汁的快速流下,使得汤汁有更多时间被面条吸收。

它被车站停售,遭高铁提醒,为啥人们旅行时还是那么爱吃?

小编提醒:方便面是弯曲且有弹性的,如果在高铁上吸溜泡面,小心汤汁溅出哦!

为什么泡面在高铁车厢中的

气味那么大?

关于高铁“去泡面化”,有些网友支持主要是因为它在车厢中气味非常大,混合起来很难闻,但是平时如果我们在家煮泡面反而觉得它很香,这主要和高铁上密闭的环境和送风系统有很大的关系。

它被车站停售,遭高铁提醒,为啥人们旅行时还是那么爱吃?

看起来就喷香~

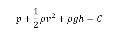
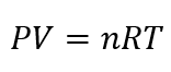
在封闭空间中,车厢中的空气交换100%依靠空调系统,车厢内气压约80~90 kPa,处于低压状态,根据理想气体状态方程:

它被车站停售,遭高铁提醒,为啥人们旅行时还是那么爱吃?

车厢中气体体积和温度都不变,压强P和气体总物质的量n成正比。

根据玻意耳定律(P∝n):比如,当气压降低10%时,通过计算N₁=N₀ × (90/101) ≈ 0.89N₀,减少了11%。而气味分子数nᵣ是由泡面的温度和挥发性决定的,与气压无关,通过计算发现气味分子数的占比提高了12%。

而高铁的换气系统也对泡面气味的传播有着至关重要的作用,空调出风口的风速远高于车厢气体的风速,这时就会涉及到伯努利原理

说起伯努利原理,它在我们生活中非常常见,相信大家都有这样的体会,当我们乘坐高铁时,两列列车相遇的时候,车身会变得不稳,飞机机翼的设计也利用了这一原理。它是瑞士物理学家丹尼尔·伯努利在1726年提出的。通俗来讲,就是在等高流动时,流速大的地方压强小。

伯努利原理是用来描述理想流体的运动的,并非适用于所有流体。但在很多情况下,所涉及的流体可以近似看做理想流体,因此可以用伯努利原理来解释。

它被车站停售,遭高铁提醒,为啥人们旅行时还是那么爱吃?

伯努利原理可以从能量守恒来理解。简单来说,就是在无黏滞力的理想流体中,流体内各点的动能、势能和内能之和是一个常数,这就是伯努利方程。

它被车站停售,遭高铁提醒,为啥人们旅行时还是那么爱吃?

因此当流体流速增加的时候,它的动能增加,相应的内能和势能就会减少,这个势能就包括了静压力产生的势能,也就是说流速增大,压强就会减小

泡面碗口散发出的热蒸汽和气味分子会被强力吸入出风口,然后通过换气系统将气味分子传播到整个车厢。

小编提示:方便面虽然味美方便,但是封闭车厢会导致气味浓重混杂,大家在旅途中享用美食时,也需要适当考虑他人哦!

当然,可能有读者关注泡面的健康问题,其实方便面的主要营养成分和挂面差不多,含量上有一定差异,方便面本身也不需要添加防腐剂来延长保质期,虽然方便面中确实含有微量的丙烯酰胺,但是如果只吃一两包也远不会超标。

同时,大家在吃泡面的时候如果可以搭配蛋白质食物(比如鸡蛋)再加上一些蔬菜,那就是健康又营养啦!

讨论下来,感觉泡面最大的问题就在密闭空间气味太大,但是架不住它价格便宜、性价比高而且吃的时候非常方便,比米饭套餐可好太多了。

参考文献

[1] 汪卫华,非晶物质—常规物质第四态,科学出版社.

[2] Panic, Vesna; Seslija, Sanja; Nesic, Aleksandra; Velickovic, Sava (2013). Adsorption of azo dyes on polymer materials. 67(6), 881–900.

[3]朱蓓薇,方便食品加工工艺及设备选用手册,化学工业出版社.

编辑:悦悦

封面图来源:小红书@某某

本文经授权转载自中科院物理所(ID:cas-iop),如需二次转载请联系原作者。欢迎转发到朋友圈。

发表评论

而然网 网站地图 Copyright © 2013-2024 而然网. All Rights Reserved.